Discrimination Policy
This Discrimination Policy can be used to show your commitment to providing a workplace free of discrimination. This Policy defines what constitutes discrimination and provides a process for employees to flag any related complaints or grievances.
Last updated October 24, 2025
Suitable for Australia

Create & Customise Legal Templates Online

What is a discrimination policy?
What is a discrimination policy?

When should you use a discrimination policy?
When should you use a discrimination policy?

What should be in a discrimination policy?
What should be in a discrimination policy?
How to create a legal document
- check_circle
Access the Document Library
- check_circle
Select the template that matches your needs
- check_circle
Customise by adding or removing clauses with assistance from Lawpath AI
- check_circle
Personalise with your headers, footers, logos, or additional text
- check_circle
Store all documents securely in your account for easy access
Frequently asked questions
Who can this policy apply to within a business?
keyboard_arrow_upWhat protections does this policy provide for staff?
keyboard_arrow_upDoes this policy cover work-related events outside the office?
keyboard_arrow_upHow does the policy help prevent discrimination claims?
keyboard_arrow_upWhat are the main limitations of this policy?
keyboard_arrow_upWhat disciplinary actions are outlined for breaches?
keyboard_arrow_upWhat steps should a business take after adopting this policy?
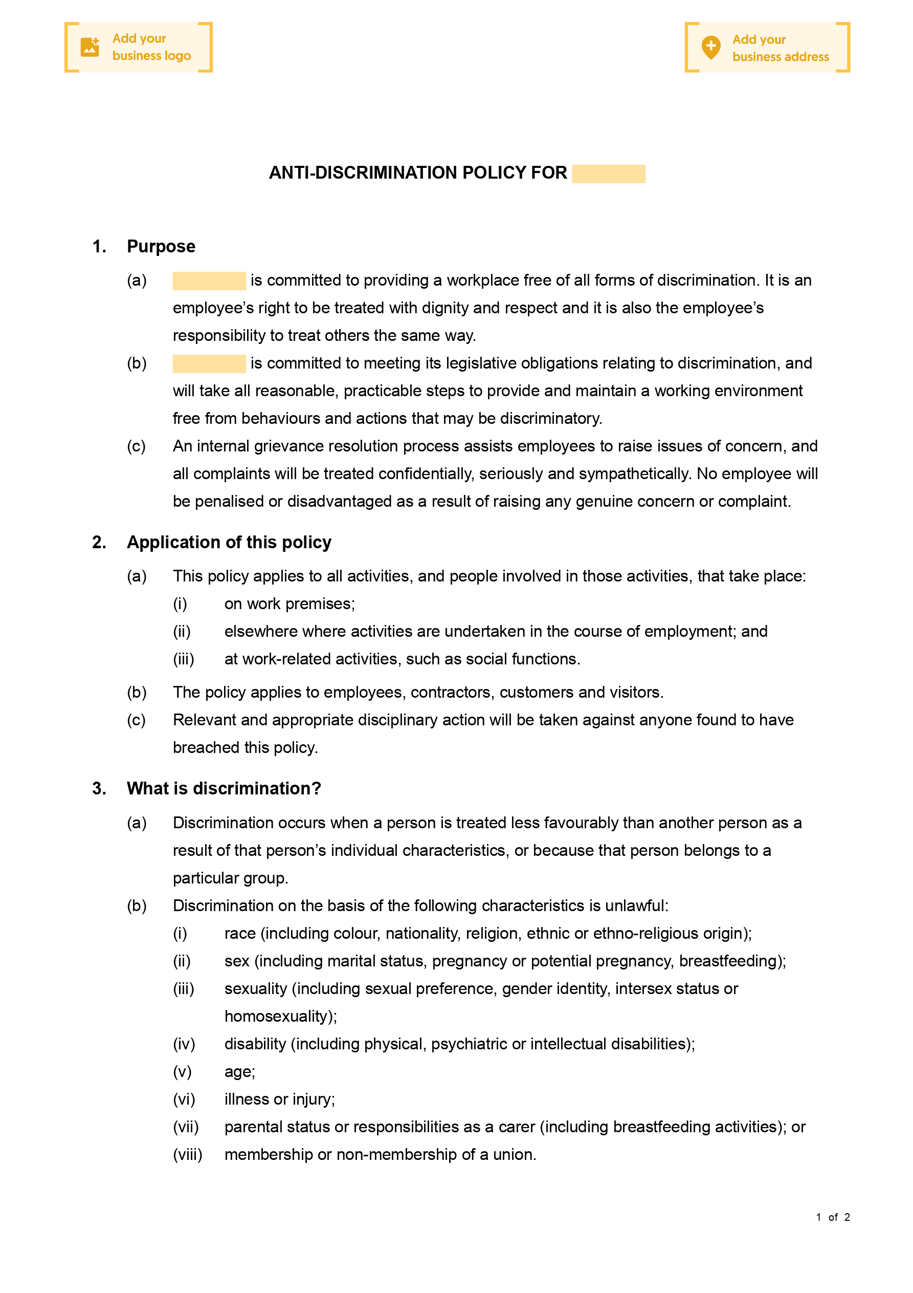
keyboard_arrow_upView Sample Discrimination Policy

The Legal Risk Score of a Discrimination Policy Template is Low
Our legal team have marked this document as low risk considering:
- The policy extends beyond the physical workplace to include off-site work activities and social functions, which may increase the responsibility of the organization to monitor and enforce the policy in less controlled environments.
- The effectiveness of the policy relies heavily on employees coming forward with complaints, which may not always occur if employees are unaware or hesitant to report issues.
- The document outlines a range of disciplinary actions, including dismissal, which could lead to significant consequences for individuals found in breach of the policy, potentially impacting staff morale and retention.
Meet Our Users
Articles about Discrimination Policy
Looking for more documents?
Privacy Policy
A Privacy Policy outlines how your business will use, store and collect your customers' information. A Privacy Policy is required by law in certain circumstances.
Loan Agreement
This Loan Agreement can be used by lender when offering a loan to a Borrower.
Non-Disclosure Agreement (Mutual)
A Non-Disclosure Agreement (Mutual) allows you and another party to share confidential information while legally forbidding either party from disclosing that information to any other person or entity.
Non-Disclosure Agreement (One Way)
A Non-Disclosure Agreement (One Way) allows you and another party to share confidential information while legally forbidding the other party from disclosing that information to any other person or entity.
Employment Agreement (Casual)
This Employment Agreement (Casual) is suitable for casual employees in any industry. This agreement is essential when hiring new casual employees for your business.
Business Sale Agreement
A Business Sale Agreement is used to clearly set out all relevant terms of the sale when selling or buying a business.
Contractor Agreement (Individual)
The Contractor Agreement (Individual) allows you to hire a contractor that is an individual (ie. not a company).
Shareholders Agreement
A Shareholders Agreement allows you to clarify the relationship between shareholders of your company.








